حركه براونيه
Brownian motion - Mouvement brownien

الحركة البراونية

 

 

جسيمات الدخان تتقاذفها جزيئات الهواء

كما تبدو تحت المجهر

يطلق اسم الحركة البراونية Brownian motion على الحركة العشوائية الدائمة الناشئة عن رجم جسيمات دقيقة معلقة في سائل أو غاز من قبل جزيئات السائل أو الغاز.

يعود الفضل في دراسة هذه الحركة إلى عالم النبات الاسكتلندي روبرت براون عام 1827. فقد لاحظ أن حبيبات الطَّلع المعلقة في الماء تتحرك تحت المجهر جيئة وذهاباً في كل اتجاه، وأن هذه الحركة لاتعود إلى كائنات حية؛ إذ أنها لوحظت حتى في حبيبات طلع مضى عليها قرن من الزمان. ويمكن ملاحظة هذه الحركة كذلك على جسيمات دخان تنفخ في حجرة ضحلة تحتوي على الهواء وتنار جانبياً بمصباح قوي، ويبين الشكل المشهد الذي يراه الراصد في عينية المجهر في هذه الحالة. وبالطبع يمكن باستخدام مرشح يمتص الإشعاع الحراري الصادر عن المصباح، رفض فكرة أن الحركة العشوائية ناشئة عن تيارات حمل.

تقدم دلزولكس Delsaulx عام 1877 بفرضية مفادها أن الحركة البراونية تحدث نتيجة صدم جزيئات السائل أو الغاز للجسيمات المعلّقة فيهما. وقد تم التحقق من هذه الفرضية الهامة تجريبياً، وبذلك ترسخت النظرة الذرية لبنية المادة لأول مرة تجريبياً.

نشر أينشتاين بدءاً من عام 1905 عدة بحوث بيّن فيها أن الحركة البراونية تنشأ من قذف جزيئات السائل أو الغاز للجسيمات المعلقة فيهما. وتنبأ بنتائج يمكن التحقق منها تجريبياً، إذ توصل بالمعادلات الرياضية إلى تحديد طول المسار الحر الوسطي لجسيم لدى قيامه بالحركة العشوائية في السائل أو في الغاز، وبيّن أن هذا الطول x يتناسب مع الجذر التربيعي للزمن t الفاصل بين تصادمين أي أن:

حيث ترمز D إلى معامل انتشار الجسيمات diffusion coefficient؛ وهو معامل يصف معدّل انتقال الجسيمات من المناطق الكثيفة بالجسيمات إلى المناطق الأقل كثافة بكثير. ومن الممكن قياس هذا المعامل بطرق أخرى، وهو يعطى بالعلاقة:

حيث تمثل R ثابت الغازات العام، وT درجة الحرارة المطلقة بالكلفن، وN عدد أفوغادرو، وa نصف قطر الجسيمات المعلقة، و η معامل لزوجة السائل أو الغاز الذي تتحرك فيه الجسيمات المعلقة.

خضع قانون أينشتاين إلى تجارب مستفيضة عديدة، وخاصة من قبل الفيزيائي الفرنسي بيرين Perrin، والسويدي زفيدبيرغ Zvedberg. كما أجريت تجارب على جسيمات مرئية معلقة ذات نصف قطر معلوم، وقادت النتائج إلى تحديد قيمة لعدد أفوغادرو N اتفقت مع قيمته المعروفة من تجارب أخرى. وباستخدام قيمة N الناتجة وتطبيق الدراسة على انتشار الجزيئات كانتشار محلول السكر في الماء، أمكن تحديد نصف قطر جزيئة الماء a. وهكذا فقد شكلت التجارب بمجموعها أساساً متيناً للنظرية الحركية الجزيئية للمادة.

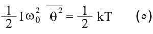
يُشار أخيراً إلى إمكانية رؤية مظاهر الحركة البراونية بدراسة حركة مرآة خفيفة معلقة بخيط دقيق موضوعة في حجرة مملوءة بالغاز. فإذا كان I عزم عطالة المرآة حول خيط التعليق، وإذا أزيحت عن وضع توازنها اهتزت بتواتر اهتزاز طبيعي ω0، وتكتب معادلة حركتها بالشكل:

حيث ترمز θ إلى الانزياح الزاوي للمرآة عن وضع توازنها. وتمثل  السرعة الزاوية للمرآة.

إن وضع المرآة في الغاز سوف يعرض سطحيها إلى قوى غير متساوية نظراً لتأرجح كمية الحركة أو الاندفاع الذي ينتقل إليها عن طريق قذف جزيئات الغاز لها، وبالتالي سيجعل المرآة تهتز بعيداً عن الاهتزاز التوافقي. وبمرور الزمن يحصل تقاسم للطاقة الحركية والكامنة الدورانيتين للمرآة وتغدو طاقتها الحركية معطاة بالعلاقة:

 

وتصبح طاقتها الكامنة معطاة بالعلاقة:

 

 

حيث تمثل k ثابت بولتزمان وT درجة حرارة الغاز المطلقة.

تؤكد القياسات الدقيقة صحة العلاقتين (4) و (5)، وبالتالي صحة نقطة الانطلاق أي أن الحركة البراونية ليست إلا مظهراً من مظاهر قذف جزيئات السائل أو الغاز للجسيمات المعلقة فيهما.

أحمد حصري 

الموضوعات ذات الصلة:

 

عدد أفوغادرو ـ أينشتاين ـ الذرة ـ النظرية الحركية للغازات. 

 

مراجع للاستزادة:

 

- Mc-Graw Hill Encyclopedia of physics, Parker, 1983.

 


- التصنيف : الكيمياء و الفيزياء - النوع : علوم - المجلد : المجلدالثامن، طبعة 2003، دمشق - رقم الصفحة ضمن المجلد : 193 مشاركة :

متنوع

بحث ضمن الموسوعة