التمدد الحراري
تمدد حراري
Thermal expansion -
التمدد الحراري
كنج الشوفي
يؤدي التغيير في درجة حرارة المادة إلى تغيير في معظم خواصها الفيزيائية. ومن أبرز التغيرات، التي تكون أحياناً ظاهرة للعين المجردة، التغير في أبعاد المادة مع تغيّر درجة الحرارة الذي يعبّر عنه بمعاملات التمدد الحراري coefficients of thermal expansions. وقد تتغير أبعاد المادة أيضاً عند تغيّر حالة المادة من طور إلى آخر.
يفسر التمدد الحراري على المستوى الذري بأن رفع درجة حرارة المادة يسبب زيادة في طاقة اهتزاز الروابط بين الذرات والجزيئات المشكلة للمادة؛ مما يؤدي إلى زيادة سعة اهتزاز تلك الجسيمات. وهذا بدوره يؤدي إلى زيادة متوسط المسافة بين الذرات المرتبطة بعضها ببعض وازدياد أبعاد المادة. يبين الشكل (1) نموذجاً لذلك، حيث شُبّهت الروابط بين الذرات بالنوابض المرنة. ويحدث العكس عند خفض درجة حرارة المادة، إذ تنقص أبعادها، وفي الحالتين تسمى الظاهرة - مجازاً - تمدداً حرارياً.
![]() |
|
الشكل (1) |
تتمدد معظم المواد بالحرارة بالقرب من درجة الحرارة العادية، ويتوقف مقدار الزيادة في أبعادها على قوى التماسك بين الذرات والجزيئات. فعلى سبيل المثال يكون مقدار تمدد الجسم الصلب بالتسخين صغيراً مقارنة مع التمدد الحاصل في حالة المادة السائلة أو الغازية. وسبب ذلك اختلاف قوة الرابطة بين الجسيمات؛ إذ تكون كبيرة في الحالة الصلبة، وأصغر قيمة في الحالة السائلة، وشبه معدومة في حالة الغاز.
يحدث التمدد الحراري في الجسم الصلب في الطول والعرض والارتفاع. وتكون نسبة الزيادة في أي اتجاه بحسب المسافة الأصلية لتلك الجهة، فعندما يكون التمدد في أحد الاتجاهات أكبر بكثير من البقية تحدث الزيادة أساساً في هذا الاتجاه مقارنة مع الاتجاهات الأخرى مما يسبب زيادة في طول هذا الجسم. ويتناسب مقدار هذه الزيادة مع الطول الأصلي للجسم، وقد بينت التجارب أن مقدار الزيادة في طول الجسم الصلب يتناسب مع كل من مقدار تغير درجة الحرارة والطول الأصلي
للجسم (الشكل 2). وهذا يعبر عنه رياضياً بالعلاقة (1):
|
|
|
|
الشكل (2) |
حيث
مقدار التغير في درجة الحرارة وفي الطول على الترتيب. وثابت التناسب الظاهر في هذه المعادلة
يسمى معامل التمدد الطولي للمادة أو معامل التمدد الخطي linear thermal expansion. وبحسب المعادلة (1) تكون واحدة قياسه مقلوب درجة الحرارة. وتختلف قيمة هذا الثابت من مادة إلى أخرى لكون مقدار التمدد يختلف باختلاف نوع المادة، كما يمكن أن يختلف باختلاف الاتجاه وخاصة في البلورات (الجدول 1).
|
الجدول (1) معامل التمدد الحراري لمواد مختلفة |
||||||||||||||||||||||||
|
وبالمثل عندما يكون للجسم بعدان كبيران والثالث مهمل فإن زيادة درجة حرارته تؤدي إلى زيادة مساحة سطحه. ويمكن البرهان بسهولة على أن مقدار هذه الزيادة معطى بالعلاقة (2):
|
|
حيث الثابت
معامل التمدد السطحي ويساوي تقريباً
2 إذا كان معاملا التمدد الخطيان في الاتجاهين متساويين. وفي حالة الجسم ثلاثي الأبعاد يحدث التمدد في جميع الاتجهات بالقدر نفسه، وهو ما يطلق عليه معامل التمدد الحجمي للجسم. ويعطى مقدار الزيادة في حجم الجسم بالعلاقة (3):
ويسمى الثابت
معامل التمدد الحجمي للمادة coefficient of volume expansion، ويساوي
3 تقريباً. أما إذا كانت معاملات التمدد الخطية في الاتجاهات الثلاثة غير متساوية فيعبر عن معامل التمدد الحراري بممتد (موتّر) tensor من الدرجة الثانية، ويكون معامل التمدد الحجمي مجموع عناصر الممتد القطرية .
تتأثر الحالة السائلة للمادة -كما في الحالة الصلبة- بتغير درجة الحرارة أيضاً، إذ يزداد حجمها بزيادة درجة حرارتها؛ باستثناء الماء الذي يشذ عن هذا ويتقلص ما بين درجتي الحرارة صفر سلسيوس والدرجة 4+°س. ولا يعرف في الحالة السائلة للمادة سوى معامل التمدد الحجمي. وقد بينت التجارب أن معامل التمدد الحجمي للسوائل أكبر بكثير منه في الأجسام الصلبة (الجدول 1). كما تتميز السوائل أيضاً بأن لها معامل تمدد حقيقي ومعامل تمدد ظاهري، ويعود السبب في ذلك إلى حاجة السائل إلى وعاء صلب يحويه. هذان المعاملان يرتبطان بعضهما ببعض من خلال معامل التمدد الحجمي للوعاء الصلب بالعلاقة (4):
حيث
هما معامل التمدد الظاهري والحقيقي للسائل على الترتيب. تتم قياسات معاملات التمدّد الحرارية للمواد الصلبة أو السائلة في الضغط الجوي النظامي، وتؤخذ نفسها عند تغيّر الضغط لعدم تغير قيمها كثيراً معه.
أما في الحالة الغازية للمادة فيكون الأمر مختلفاً جداً؛ إذ ليس لكمية (كتلة) محددة من الغاز حجم ابتدائي ثابت عند درجة حرارة محددة، إنما يتغير حجمها بتغير حجم الوعاء الذي توجد فيه، وذلك بسبب تغير الضغط في الوعاء حتى مع الاحتفاظ بدرجة الحرارة الابتدائية، لذلك لا يمكن في حالة الغازات استخدام المعادلة السابقة لحساب مقدار التغير في حجم الغاز عند تسخينه.
بيّن قانون غي لوساك أن حجم الغاز
يزداد خطياً مع ازدياد درجة الحرارة عند بقاء الضغط ثابتاً. وقد عبر عن ذلك بالعلاقة (5):
حيث
يمثل معامل التمدد الحجمي للغاز بثبات الضغط، t درجة الحرارة. إن قيمة معامل التمدد الحجمي للغازات هي نفسها تقريباً من أجل جميع الغازات، وتساوي
. ويمكن من ثم في التعبير عن ذلك رياضياً بالعلاقة (6):
![]() |
أي إنّ مقدار الزيادة
في حجم كتلة محددة
من غاز ما عند زيادة درجة حرارته درجة واحدة بدءاً من درجة الصفر سلسيوس يكون مقداراً ثابتاً ومساوياً إلى
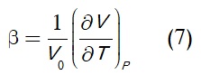
من حجمه عند درجة الصفر سلسيوس. وقد جرت العادة في التعبير عن معامل التمدد الحجمي بثبات الضغط للغازات بالعلاقة (7):
![]() |
تعدّ العلاقات المعرفة السابقة مظهراً لما يجري داخل المادة، فهي بين متحولات جهرية. أما الحالة المجهرية الداخلية فتظهر بوضوح عند دراسة الأجسام الصلبة البلورية التي تمثل بشبكات بلورية تربط بين ذراتها. إذ تتوضع هذه الذرات على مسافات محددة تماماً وثابتة تقريباً عند درجة حرارة الصفر المطلق، عند ازدياد درجة الحرارة على الصفر المطلق تزداد الطاقة الحرارية، مما يسبب حركة الذرات على شكل حركة اهتزازية حول مواضع توازنها الأصلي الممثل بالحالة
من الشكل (3). تكون هذه الاهتزازات توافقية harmonic vibration بتقريب أول عند درجات الحرارة المنخفضة حيث تكون قوى الترابط بين الذرات خاضعة لقانون هوك Hooke’s law. ويكون منحني تغير طاقة الارتباط مع المسافة الفاصلة بين الذرات على شكل قطع مكافئ (الشكل 3- ب)، وتكون هذه الاهتزازات مكماة فتدعى بالفونونات قياساً بتكمية الأمواج الكهرطيسية التي تدعى فوتونات، وبالتالي لا تحدث زيادة في حجم الجسم مع ازدياد درجة الحرارة، ويتوقع أن ينعدم معامل التمدد الحجمي بالقرب من الصفر المطلق. لكنه مع ارتفاع درجة حرارة الجسم تصبح هذه الاهتزازات غير توافقية anharmonic vibration، ومن ثمّ يكون تغير طاقة الرابطة غير توافقي مع تغير المسافة بين الذرات الشكل (3- أ) مما يزيد متوسط المسافة بين الذرات؛ ومن ثم التمدد الحراري للشبكة البلورية ثم للجسم كاملاً، فينشأ التمدد الحراري إذاً من تآثر الفونونات بعضها مع بعض. يمكن الإشارة إلى أنه كلما كان منحني تغير الطاقة الاهتزازية أكثر عمقاً وأقل عرضاً كانت طاقة الارتباط بين الذرات أكبر، ومن ثمّ يكون معامل التمدد الحجمي أصغر.
|
|
الشكل (3) |
لاحظ الفيزيائي الألماني غرونايزن Eduard Grüneisen العلاقة بين الطاقة الحرارية الموزعة على الفونونات في البلورة وعددها المحدود الذي يعطي السعة الحرارية، ولاحظ كذلك تغيرها مع تغير درجة الحرارة فيما يعرف بنموذج ديباي Debye model. يعرف هذا النموذج درجة حرارة ديباي التي هي صفة من صفات المادة. فاقترح - نتيجة ملاحظته في مجال محدود من درجة الحرارة - وجود تناسب بين معامل التمدد الحجمي والسعة الحرارية سُمي ثابت التناسب أو ثابت غرونايزن، لكنه تبين تغيره في شروط أخرى فسمي وسيط غرونايزن Grüneisen parameter.
بينت التجربة أن العلاقة بين معامل التمدد الخطي ودرجة الحرارة ليست خطية لارتباطها بطاقة اهتزاز الروابط بين الذرات اللاتوافقية في الحالة العامة. وتعطى العلاقة بين معامل التمدد الطولي ودرجة الحرارة بالمعادلة (8):
حيث
طاقة وسطية مميزة للفونونات في ذلك الاتجاه. إن تغير درجة حرارة البلورة الصلبة بالمقدار
يؤدي إلى تغير في أبعاد هذه البلورة؛ ومن ثمّ إلى تغير تواترات (ترددات) الفونونات وتوزعها. وبما أن هذه التغيرات في أبعادها لا تكون متماثلة في كل الاتجاهات- في الحالة العامة - فإن معامل التمدد الطولي غير متماثل في الاتجاهات المختلفة (لامتناحٍ) بالنسبة إلى البلورة وتتغير قيمته، وتتعلق بالاتجاهات البلورية المختلفة. ويؤدي تغير درجة الحرارة إلى ظهور تشوه deformation في البلورة يعبر عنه بوجود انفعال strain في البلورة. ويعرف ممتد الانفعال
بعد حذف معامل الدوران الصافيمن التشوه
بالعلاقة (9):
ويكون معامل التمدد الطولي للجسم الصلب معطى بدلالة ممتد الانفعال بالعلاقة (10):
لهذه الظاهرة أهمية كبرى في العديد من التطبيقات العلمية والهندسية والميكانيكية، من أبرزها ترك المسافات بين قطع السكك الحديدية والوصلات الحديدية في المباني والجسور حتى لا تتعرض القطع الصلبة إلى إجهادات stressesذات منشأ حراري، إضافة إلى وجوب أخذها في الحسبان عند دراسة الآلات في درجات حرارة مختلفة، لذلك صرفت جهود واسعة للحصول على بعض المواد التي ينعدم معامل تمددها الحجمي في مجال مناسب من درجة الحرارة. مثال ذلك سبيكة حديد مع نيكل بنسبة 36% يبلغ معامل تمددها قرابة
في مجال درجة الحرارة يقع بين 2 و100°س، أي أصغر بعشر مرات تقريباً من قيمة معامل تمدد الحديد أو النيكل كل على حدة.
من ناحية أخرى يتم الاعتماد على هذه الظاهرة في تصنيع العديد من مقاييس الحرارة مثل ميزان الحرارة ثنائي المعدن، الذي يتألف من معدنين مختلفي معامل التمدد الحراري (أ) و(ب) ملحومين أحدهما بالآخر ليشكلا قطعة واحدة، الشكل (4). فعند درجة حرارة معينة تكون القطعة شاقولية مستقيمة، وعند ارتفاع درجة حرارة هذه القطعة يتمدد أحد المعدنين أكثر من تمدد الآخر؛ فتنحني القطعة. يستفاد من هذه الظاهرة في تصنيع ميزان حرارة، أو في تشكيل قاطع كهربائي أو واصل، وفي تصنيع المنظمات الحرارية thermostat التي تعمل عندئذٍ قاطعة كهربائية عندما تبلغ درجة حرارة القطعة حداً معيناً. كما يستفاد أيضاً من تمدد السوائل في تصنيع ميزان الحرارة الزئبقي لتميُّز الزئبق السائل بتمدد حراري خطي منتظم مع تغير درجة الحرارة.
|
|
الشكل (4)
|
|
مراجع للاستزادة: - كنج الشوفي، الترموديناميك، جامعة دمشق، 2014. - فوزي عوض وزملاؤه, فيزياء المواد، جامعة دمشق، 1991. - Y. Ito,Thermal Deformation in Machine Tools, McGraw-Hill 2010. - P. Hofmann, Solid State Physics: An Introduction, Wiley-VCH 2022. - N. Noda, Thermal Stresses, Routledge 2018. - Y. S. Touloukian, Thermal Expansion: Metallic Elements and Alloys (Thermophysical Properties of Matter), Springer 2014.
|
- التصنيف : الكيمياء والفيزياء - النوع : الكيمياء والفيزياء - المجلد : المجلد العاشر، طبعة 2025، دمشق مشاركة :




