تيار المخر
تيار مخر
Wake flow -
أيهـم الشـبل
تيار المخر wake flow هو تيار يُحدِثُهُ جسمٌ مغمورٌ كلياً أو جزئياً في مائعٍ جارٍ. يمتد هذا التيار خلف الجسم نزولاً مع اتجاه الجريان downstream ، كالتيار الذي يحدث خلف دعامات جسرٍ مغمورةٍ في نهرٍ جارٍ. ويعرَّف تيار المخر كذلك بأنه الأثر الذي يتركهُ خلفه جسمٌ يتحركُ ضمن مائعٍ أو على سطحهِ، ويسمى في هذه الحالة أثر المخر، كالأثر الذي تتركه السفينة خلفها عندما تَمخرُ عباب البحر. أما عندما يتعلق الأمر بالأثر الذي تتركه خلفها الأجسام المتحركة في وسط غازيّ مثل الطائرة أو القذيفة عندما تتحرك في الهواء فيسمى الأثر الذيلي.
عند تحرك مركب على سطح الماء فإنه يترك تياراً واضح المعالم، ويمتد طويلاً خلفه ليصل في بعض الحالات إلى بضعة كيلومترات، ويمكن كشفه من الجو أو من السواتل حتى بعد مرور أكثر من ساعة على مرور المركب.
قد يبقى أثر المخر في الجو الصحو بادياً للعيان بدءاً من مؤخرة المركب حتى خط الأفق، وقد استفيد من هذه الظاهرة في بعض الأعمال العلمية لتحديد نصف قطر الأرض، لأنه يمتد إلى ما وراء الأفق قبل أن تلتقي حافتاه، مما يشير إلى انحناء سطح الأرض (الشكل 1).
![]() |
|
الشكل (1) أثر المخر الممتد وراء السفينة. |
يجري حالياً تطوير تقانات للكشف عن المراكب المبحرة بتعرُّف أثر المخر الذي يظهر على صور ملتقطة من ارتفاعات عالية بوساطة رادار ذي فتحة تركيبية Synthetic Aperture Radar (SAR)، لكن هذه التقانات تصبح محدودة الفاعلية بوجود ضجيج ملحوظ بالنسبة إلى طول أثر المخر كما يظهر في الصورة.
أما عندما يتحرك جسم ما في وسطٍ غازي، مثل حركة طائرة أو قذيفة في الهواء فإن الأثر الذيلي للطائرة Airplane tail trailلا يكون مرئياً غالباً، وتتطلب رؤيته وجود دخانٍ أو بخار متكاثف، كأن تمر الطائرة فوق طبقة من الغيوم الكثيفة فيظهر تأثير دوامات الأثر الذيلي على السطح العلوي لتلك الغيوم (الشكل 2).
![]() |
|
الشكل (2) الأثر الذيلي لطائرة ثقيلة تحلق فوق طبقة من الغيوم. |
يتكون تيار المخر من مجموعة من تدويمات eddies (جريانات عكسية ملتفّة) متنوعة الحجم والاتجاه، ويتفاعل بعضها مع بعض في حركة فوضوية مشكلةً مجموعة من الدوامات المختلفة الاتجاهات، لكنها متوضعة باتساق ملحوظ؛ مما يجعل لها تأثيراً ملموساً في الأجسام التي تتعرض لها، وفي الأجسام التي تولدها فتؤثر فيها بقوىً متغيرة في الشدة والاتجاه، مما قد يسبب خطراً على الأجسام نفسها. تختلف بنية تيار المخر بحسب الجسم الذي يولده كما يلي:
1 – بنية تيار المخر خلف مركب بحري:
عندما تمخر سفينة سطح الماء الساكن فإنها تحدث تيارَ مخرٍ ناجماً عن ظاهرتين أساسيتين هما:
أ – أثر اضطرابي مكون من دوامات ورغوة بسبب عمل داسر (رفّاص) السفينة.
ب – أثر كلفن (نسبةً إلى العالم كلفن 1910) أو الأمواج الثقالية المتشكلة على سطح الماء، وهي نوعان: أمواج المقدمة، وأمواج المؤخرة (الشكل 3).
![]() |
|
الشكل (3) الأمواج الثقالية المتشكلة خلف السفينة (أثر كلفن) |
يكون أثر المخر في البيئة ثلاثية الأبعاد على شكل مخروط، ويكون على شكل v في البيئة ثنائية الأبعاد. فإذا افترضنا أن الجسم كان في النقطة B1 في اللحظة t = 0 (الشكل 4) فيكون قد وصل
إلى النقطة Bفي زمن قدره
، وتقطع الموجة المتولدة في النقطة B1 مسافةً قدرها
وتصل بذلك للنقطة W.
![]() |
| الشكل (4). |
بتطبيق مبدأ برنولي يمكن استنتاج العلاقة (1):
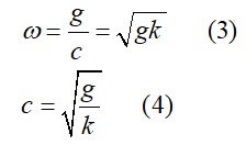
يُعبَّر عن مدى تشتُت تيار المخر ضمن أمواج المياه العميقة بالعلاقات (2 و3 و4):
![]() |
حيث:
التواتر الزاوي (راديان/ثا)
g تسارع الجاذبية الأرضية (م/ثا2)
K ترتيب رقم الموجة (راديان/م)
تتشكل هذه الأمواج وفقاً لنموذج كلفن النظري عند تحرك السفينة بسرعة منخفضة في مياهٍ عمقها كافٍ، وتتباعد خلفها (الشكل 5) بزاوية مقدارها 19.5 درجة عن محور السفينة، بغض النظر عن سرعة حركة السفينة.
|
|
الشكل (5) البنية العامة لتيار المخر خلف سفينة تتحرك بسرعة محدودة. |
غير أن الأمواج المتشكلة قد تختلف في الواقع عن ذلك النموذج اختلافاً بيناً-في بعض الحالات- بتأثير عوامل أخرى تخرج عن فرضيات هذا النموذج، فعوضاً عن فرضية المياه الساكنة تتعرض السفينة في معظم الحالات لأمواج سطح البحر الناجمة عن الرياح، مما يغير شكل تيار المخر بوضوح. أما السفن المتحركة بسرعات عالية جداً فيلاحظ تناسب زاوية التباعد مع مقلوب سرعة الحركة (على غرار مخروط الماخ عند حركة الطائرات بسرعات فوق صوتية).
2 – بنية تيار المخر خلف طائرة (الأثر الذيلي):
يتشكل الأثر الذيلي خلف الطائرة أساساً من الدوامات المتولدة عند نهايات الأجنحة؛ إذ يتسرب الهواء من السطح السفلي للجناح إلى سطحه العلوي حيث الضغط الأقل، فتتشكل دوامتان هوائيتان تدوران باتجاه الخارج من الأسفل وباتجاه الداخل من الأعلى، ويمتد تأثيرهما إلى مسافة طويلة خلف الطائرة قد تصل وراء بعض الطائرات الثقيلة إلى عدة كيلومترات.
تمتد الدوامتان الرئيسيّتان للأثر الذيلي خلف الطائرة باتجاه الأسفل قليلاً، وسرعان ما تأخذان وضعاً أفقياً وتحافظان على محورهما مع توسع بسيط في أقطار كلٍّ منهما. وقد تغيّر بعض العوامل الشكل العام للأثر الذيلي، فمثلاً تؤثر الرياح الجانبية في الأثر الذيلي وتؤدي إلى انحرافه بحسب اتجاهها، كذلك يؤثر القرب من سطح الأرض، كما هي الحال عندما تبدأ الطائرة بالإقلاع أو الهبوط، حيث تتشكل بعض الدوامات المعاكسة، ولا يستمر محورا الدوامتين الرئيسيتين بالنزول بل يرتدان عن سطح الأرض بصعود تدريجي، كما يؤثر سطح الأرض في حركة الأثر الذيلي بالاتجاه الشاقولي، وفي اتجاه الدوامات الصغيرة المشكلة له. يمثل الشكل (6) مقاطع شاقولية في الأثر الذيلي لطائرة قريبة من سطح الأرض.
|
|
الشكل (6) تأثير القرب من سطح الأرض في شكل الأثر الذيلي. |
اهتم علماء ديناميك الموائع بدراسة تيار المخر ونمذجته؛ لأن جزءاً ملحوظاً من قوة الكبح التي تتعرض لها السفينة يرجع إلى الطاقة المبددة عبر هذه الأمواج. كذلك الحال في كبح القاع الذي تتعرض له القذائف فوق الصوتية. أما في الطائرات فيعمل المختصون على دراسة الأثر الذيلي ونمذجته لما له من تأثير كبير في أمان الطيران والحركة الجوية في المطارات، إذ تؤثر الدوامات المتشكلة خلف الطائرة في الطائرات التي تحلق خلفها، وقد يمتد هذا التأثير امتداداً ملموساً زمنياً ومكانياً، ويزداد إذا تحركت طائرة صغيرة ضمن الأثر الذيلي لطائرة ضخمة؛ ولذلك فقد وُضعت ضوابط للفواصل الزمنية بين إقلاع الطائرات الكبيرة، وقد تصل في بعض الحالات إلى عدة دقائق تبعاً لأوزان الطائرة التي تولد الأثر والتي تتعرض له.
يؤدي مرور الطائرة في منطقة الأثر الذيلي لطائرة أخرى تتقدمها إلى تعرضها لاهتزازات وعزم ميل مفاجئ، نظراً لتأثير السرعات العمودية المتولدة من دوامات نهايات الأجنحة للطائرة المتقدمة (أي الطائرة المؤثرة) في توزع السرعات الشاقولية التحريضية، وفي توزع زوايا الهجوم (الشكل 7) على امتداد جناح الطائرة المتأخرة (المتأثرة)، وبحسب موقعها من الطائرة المؤثرة.
|
|
الشكل (7) نشوء عزم الميل عند مرور طائرة ضمن الأثر الذيلي لطائرة أخرى. |
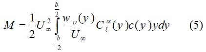
ويحسب عزم الميل الذي تتعرض له الطائرة المتأثرة بالعلاقة (5):
|
حيث:
- سرعة الجريان بعيداً عن الطائرة (الجريان غير المضطرب).
b - امتداد جناح الطائرة المتأثرة.
- تابع توزع مركبة السرعة الشاقولية الناجمة عن تأثير الطائرة المتقدمة (المؤثرة) على امتداد الجناح، وهو محصلة تأثير دوامتي نهايات الأجنحة المبين في الشكل (6).
– توزع معامل الرفع على امتداد جناح الطائرة المتأثرة.
– تابع تغير وتر جناح الطائرة المتأثرة على امتداده.
y - الإحداثية الموافقة لامتداد الجناح.
تيار المخر المضطرب
عند عدد رينولدز المنخفض يكون شكل التيار باتجاه الأسطوانة متناظر ويولِّد ضغط مقاوم قريب من الصفر.
|
مراجع للاستزادة: -J. D. M O Connell, Measurement of Ship Model Wake Variation in Rough Water, Hassell Street Press 2021. , Performance, Stability, Dynamics, and Control of Airplanes, AIAA (American Institute of Aeronautics & Ast) 2015.
|
- التصنيف : التقانات الصناعية - النوع : التقانات الصناعية - المجلد : المجلد العاشر، طبعة 2025، دمشق مشاركة :




