التماثل في التركيب (التماكب)
تماثل في تركيب (تماكب)
Isomerisation -
فاروق قنديل
التماكب isomerismيعبر عن اختلاف عدد من المركّبات بعضها عن بعض بخواصه الفيزيائية والكيميائية مع أنه لها الصيغة المجملة لعدد الذرات الموجودة في الجزيء الواحد ونوعها، ولكنها لا تعبر عن ترتيب هذه الذرات بعضها بالنسبة إلى بعض.
يقسم التماكب قسمين؛ التماكب البنيوي structural isomerismوالتماكب الفراغي stereo isomerism.
فيه يكون للمماكبات صيغ مفصلة مختلفة، ويقسم إلى ثلاثة أنواع رئيسة:
1. التماكب السلسلي chain isomerism: ينتج هذا التماكب من الاختلاف في اتصال ذرات الكربون بعضها ببعض. فهي إما أن تكون على هيئة سلسلة مستقيمة وتسمى "النظامية"، ويرمز إليها بـ (ن)؛ وإمّا على هيئة سلسلة متفرعة وتسمى "الإيزو"، ومن الأمثلة على ذلك الشكل (1):
![]()  | 
		
| 
			 الشكل (1)  | 
		
ولكليهما الصيغة المجملة نفسها C4H10.
2. التماكب الموضعيposition isomerism : ينتج هذا التماكب من اختلاف وضع المتبادلات (الزمر الهدروكسيلية المرتبطة بالبروبان مثلاً) بذرة الكربون الأولية فينتج الكحول البروبيلي النظامي (1- البروبانول)، أو أن ترتبط بذرة الكربون الثانية فينتج الكحول الإيزوبروبيلي (2- البروبانول) (الشكل 2).
![]()  | 
		
| 
			 الشكل (2)  | 
		
ولكليهما الصيغة المجملة نفسها C3H8O.
3. التماكب الوظيفي functional isomerism: تتشابه المماكبات في هذا النوع من التماكب بصيغتها الجزيئية، ولكن يختلف بعضها عن بعض في احتواء كل منها على زمرة وظيفية مختلفة، فللكحول الإتيلي وثنائي متيل الإتر مثلاً الصيغة الجزيئية (الشكل 3):
![]()  | 
		
| 
			 الشكل (3)  | 
		
ولكليهما الصيغة المجملة نفسها C2H8O .
يكون في هذا النوع من التماكب للمماكبات البنية نفسها وتعاقب الروابط نفسه، ولكن يختلف بعضها عن بعض بتوجهات الذرات والزمر الوظيفية في الفراغ. وتمتاز هذه الظاهرة من التماكب بأهمية خاصة في المركّبات ذات الأهمية البيولوجية. يقسم التماكب الفراغي في الجزيئات البسيطة إلى تماكب هندسي geometrical وتماكب ضوئي optical، لكن هذا التفريق بين هذين النوعين من التماكب في الجزيئات المعقدة يصبح أقل وضوحاً.
1-التماكب الهندسي: تحتوي المماكبات من هذا النوع على رابطة ثنائية C=C لاتسمح بالدوران الحر حول الرابطة خلافاً للدوران الحر الذي يحدث حول الرابطة الأحادية. ويوجد نمطان من هذا التماكب.
أ- التماكب الهندسي المقرون (سيس) cis والمفروق ( ترانس) trans، ويحصل في الألكِنات عندما يرتبط كل من كربوني الرابطة الثنائية بمتبادلين مختلفين؛ فإذا وقع المتبادلان المتشابهان في جهة واحدة من الرابطة الثنائية يدعى المماكب بالمقرون، أما إذا وقعا في جهتين مختلفتين؛ فيدعى المماكب بالمفروق (الشكل 4).
![]()  | 
		
| 
			 الشكل (4)  | 
		
ب- التماكب الهندسي(E,Z) ، ويحصل هذا التماكب عندما ترتبط ذرتا الكربون في الرابطة الثنائية بثلاثة متبادلات أو أربعة أو ذرات مختلفة.
فإذا وقع المتبادلان اللذان لهما الأفضلية الكبرى من حيث العدد الذري للذرة المرتبطة مباشرة بذرة كربون الرابطة الثنائية دعي المماكبZ (من الكلمة الألمانية Zusammen أي معاً). أما إذا وقعا في جهتين مختلفتين دعي المماكب E (من الكلمة الألمانية Entgegenأي مضاد) (الشكل 5).
![]()  | 
		
| الشكل (5) | 
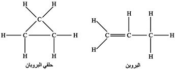
تشير الأرقام إلى الأعداد الذرية للكلور والكربون والهدروجين. وتُعدّ حلقي الألكانات مماكبات للألكنات، فحلقي البروبان مماكب للبروبن (الشكل 6).
![]()  | 
		
| 
			 الشكل (6)  | 
		
2- التماكب الضوئي: ينشأ من إمكان وجود بنية فراغية مع خيالها في المرآة، ويقال عن مثل هذه البُنى: إن لها خاصية عدم التطابق chirality ؛ أي إن المماكب لا ينطبق على خياله. وتتصف هذه المماكبات بعدم احتوائها على مستوي تناظرsymmetric plane .
يتضمن هذا التماكب وجود ذرة مركزية غالباً ما تكون ذرة كربون ترتبط بأربع ذرات أو زمر مختلفة. وهي توجد في أزواج من المركّبات يكون أحد المماكبين خيالاً للآخر في المرآة (الشكل 7). تدعى هذه المماكبات بالمتخايلاتenantiomers ، وتدعى ذرة الكربون التي ترتبط بأربع ذرات أو زمر مختلفة بذرة الكربون اللامتناظرة asymmetric carbon .
![]()  | 
		
| الشكل (7) | 
وللمتخايلات الثوابت الفيزيائية نفسها، مثل نقطة الانصهار ونقطة الغليان والكثافة، ولكن يختلف بعضها عن بعض بقدرة كل منها على تدوير الضوء المستقطب polarized light في اتجاه يعاكس الآخر. توصف هذه المماكبات بأنها فعالة ضوئياًoptically activ . سُمّي المماكب الذي يدير مستوي استقطاب الضوء إلى اليمين باليميني D (الحرف الأول من الكلمة اللاتينية Dextro )، أما الآخر الذي يديره إلى اليسار فسُمّي باليساري L (الحرف الأول من الكلمة اللاتينية Laevus ) وذلك وفق أقدم نمط للتسمية الذي اقترحه العالمان فانت– هوف Vant- Hoff وليبل Le Belعام 1874. يكون مزيج المتخايلين بنسبة متساوية غير فعال ضوئياً، ويدعى بالمزيج الراسيمي racemic mixture.
تسمى المتخايلات وفق أحد نمطين للتسمية، ويدعيان بالتشكيلين configuration : النسبي (L,D) والمطلق (S, R).
أ-التشكيل النسبي (L,D): اقترحه فانت – هوف وليبل من أجل تسمية السكريات، وهو النمط الأقدم في التسمية، فإذا وقعت الزمرة OH المرتبطة بذرة الكربون ما قبل الأخيرة (أو زمرة الأمين NH2) إلى يمين السلسلة الكربونية دعي التشكيل D. أما إذا وقعت الزمرة OH إلى يسار السلسلة؛ فالتشكيل هو L (الشكل 8).
![]()  | 
		
| الشكل (8) | 
ب-التشكيل المطلق (S, R): اقترح عدد من الطرائق لتسمية التشكيل المطلق للمركّبات الفعالة ضوئياً، وأكثرها شيوعاً نمط التسمية (S, R) حيث R(rectus Rectus أي يميني) وS ( Sinister أي يساري)، ويطلق على هذا النمط تسمية (كاهن Cahn– إنغولد Ingold- بيريلوغ Prelog). وتعتمد هذه التسمية على قاعدة يطلق عليها اسم قاعدة التعاقب sequence rule. ووفقاً لهذه القاعدة ترتب المتبادلات الزمر أو الذرات المرتبطة مباشرة بذرة الكربون غير المتناظرة بحسب تناقص أعدادها الذرية على أن يأخذ أعلى الأعداد الذرية الرقم 1، أما المتبادل الأقل من حيث العدد الذري فيأخذ الرقم 4 ويكون متجهاً فراغياً إلى خلف الصيغة، فإذا كان هذا الترتيب باتجاه دوران عقارب الساعة يُرمز إلى تشكيل المماكب بـ R. أما إذا كان عكس اتجاه عقارب الساعة فيرمز إليه بالتشكيل S.
وإذا كان هناك ذرتان أو أكثر من الذرات الأولى المرتبطة بذرة الكربون اللامتناظرة لها الأعداد الذرية نفسها؛ عندها تقارن الأعداد الذرية الثانية المرتبطة بالذرات الأولى. وإذا بقي الغموض تقارن بالأعداد الذرية للذرات الثالثة ثم الرابعة وهكذا، فمثلاً ترتب الزمر التالية بحسب تناقص أعدادها الذرية كما في الشكل (9):
![]()  | 
		
| 
			 الشكل (9)  | 
		
وتُعدّ الروابط المتعددة كما لو أنها روابط أحادية منفصلة، فذرة الكربون في الزمرة CHO تُعدّ رابطة 1 H + 2O، ويكون ترتيب الزمرتين الآتيتين كما في الشكل (10):
![]()  | 
		
| 
			 الشكل (10)  | 
		
يمثَّل الجزيء الحاوي ذرة كربون بمقود السيارة حيث تكون الذرات ذات الأفضلية الدنيا متجهة خلف العجلة (وهي عادة الهدروجين)، والزمر الثلاث الكبرى على العجلة باتجاه عقارب الساعة (R)، أو بعكس اتجاه عقارب الساعة (S).
ويمكن توضيح ذلك بالمثال الموضح في الشكل (11):
![]()  | 
		
| 
			 التشكيل (R) التشكيل (S) الشكل (11)  | 
		
وتحاشياً لكتابة الصيغ الفراغية يمكن استعمال مساقط فيشر المستوية؛ إذ اصطلح فيشر Fischerأن تكون الروابط الشاقولية متجهة نحو الخلف. أما الروابط الأفقية فتكون متجهة إلى الأمام (الشكل 12):
![]()  | 
		
| الشكل (12) | 
وأما إذا كان المتبادل الأدنى من حيث الأفضلية أفقياً (أمام المستوي) فإن التشكيل يكون معاكساً للتشكيل المعين وفق اتجاه عقارب الساعة أو عكسه (القاعدة العكسية) (الشكل (13).
![]()  | 
		
| 
			 الشكل (13)  | 
		
تجدر الإشارة إلى أنه يجب عدم الخلط بين التشكيل الفراغي وبين تدوير مستوي الضوء المستقطب، فقد يكون التشكيل الفراغي للمماكب وهو توزع الذرات المرتبطة بذرة الكربون المركزية غير المتناظرة في الفراغ من النمط اليميني D؛ في حين يكون تدويره لمستوي الضوء المستقطب نحو اليسار، ويرمز إليه عندئذٍ بـ l (أو بالإشارة -). أما إذا كان نحو اليمين؛ فيرمز إليه بـ d(أو بالإشارة +)، فإذا كان تشكيل المركّب D ويدير مستوي الضوء المستقطب لليسار يرمز إليه ﺒ D-(-) أو D–(l). أما إذا كان التشكيل L والتدوير نحو اليمين؛ فيرمز إليه ﺒ L- ( d) أو L- (+)، وقد يكون الرمزان متوافقين مثل D- )+ أو d) وL(- أو l).
وفي سياق دراسة ظاهرة التماكب يجب ذكر أحد التطبيقات المهمة الذي يتجلى في عمليات التمكيب Isomerization التي يستفاد منها في الصناعة البتروكيميائية.
تستخدم عملية التمكيب في تحويل الفحوم الهدروجينية النظامية إلى فحوم هدروجينية ذات بنية متفرعة، ومن الأمثلة على ذلك: تمكيب البوتان النظامي إلى إيزوبوتان، والبنتان النظامي إلى إيزو بنتان، والهكسان النظامي إلى إيزو هكسان.  يستخدم في هذه العمليات كلوريد الألمنيوم بوجود HCl عاملاً حفازاً في تمكيب البرافينات النظامية. ويُعدّ البلاتين المرسَّب على الألومينا حفازاً أكثر فعالية. واكتسب تمكيب الأُولفينات أهمية عملية كبيرة، إذ يُحصَل على أُولفينات  متنوعة تعتمد خواصها الفيزيائية  على موضع الرابطة الثنائية فيها، إذ يمكن للرابطة الثنائية في ظروف معيّنة أن تنتقل من أحد طرفي السلسلة  إلى الآخر عبر الهيكل الكربوني وبالعكس. ويُعدّ حمض الكبريت ذو التركيز  98-100% أكثر الحفَّازات المستخدمة  فعالية في تمكيب الأولفينات، فهو يؤدي إلى انتقال الرابطة الثنائية داخل الجزيء حتى عند درجة الحرارة 
-10°س. وفي مصافي النفط يستعمل أحد تفاعلات الألكلة   باستعمال الأولفين C4 المتشكل من عمليات تكسير النفط في الحصول على أوكتان شديد التفرع. وفي عملية الألكلة هذه يعطي إيزو البوتان المضاف إلى البوتنات مزيجاً شديد التفرع من الألكانات بعملية تدعى الألكلة  alkylation. يستعمل حفازات في عملية الألكلة هذه  حمض الكبريت ذو التركيز
 98-100% وفلوريد الهدروجين اللامائي، فيتشكل في المرحلة الأولى من هذه العملية إيون كربونيوم بانضمام بروتون الحمض إلى الأولفين وفق المعادلة (1):
| +C | 3(CH3) | → | +H | + | CH2 | = | C | 2(CH3) | 
يلي ذلك انضمام إيون الكربونيوم المتشكل إلى جزيء ثانٍ من الأولفين؛ فيتشكل إيون كربونيوم ثنائي (ديميري) carbonium ion dimer (الشكل 14):
![]()  | 
		
| الشكل (14) | 
تؤدي الزيادة في التفرع في الفحم الهدروجيني المشبع إلى الحصول على عدد أوكتان octane numberعالٍ. يعطي استعمال مزيج من البوتِنات (1-البوتِن و2-البوتِن ) في عملية الألكلة مزيجاً من الأولفينات المتماكبة لها عدد أوكتان يصل إلى 92–94، وبعد استبعاد الإضافات الرصاصية إلى الغازولين بسبب تأثيرها الضار بالبيئة أصبح تحسين عدد الأوكتان التحدي الرئيس أمام صناعة تكرير النفط، وكذلك تركيز الاهتمام على عملية الألكلة التي تضمن منتجات ذات أعداد أوكتان عالية.
| 
			 مراجع للاستزادة: - روبرت موريسون وروبرت بويد، الكيمياء العضوية، ترجمة صالح القادري وفاروق قنديل وآخرين، المركز العربي للتعريب والترجمة والتأليف والنشر بدمشق، 2000. - F. A. Carey, R. J. Sundberg, Advanced Organic Chemistry , Springer, 2007. - P.Y. Bruice, Organic Chemistry, Prentice Hall Inc., A Bearson Education Company, 2006. - S. Kalaivani, Isomerism in Organic Compounds,MJP Publishers; 1st edition , 2013.- D. Nasipuri, Stereochemistry of Organic Compounds Principles and Applications, New Delhi: New Age International, 2021. 
  | 
		
- التصنيف : الكيمياء والفيزياء - النوع : الكيمياء والفيزياء - المجلد : المجلد العاشر، طبعة 2025، دمشق مشاركة :
                  
                  












